Beranda
/ Soal Penggunaan Turunan Fungsi Trigonometri : Smart Solution Un Matematika Sma 2013 Skl 5 2 Aplikasi Turunan Fungs / Siapa yang merasa kalau trigonometri itu sulit?
Soal Penggunaan Turunan Fungsi Trigonometri : Smart Solution Un Matematika Sma 2013 Skl 5 2 Aplikasi Turunan Fungs / Siapa yang merasa kalau trigonometri itu sulit?
Soal Penggunaan Turunan Fungsi Trigonometri : Smart Solution Un Matematika Sma 2013 Skl 5 2 Aplikasi Turunan Fungs / Siapa yang merasa kalau trigonometri itu sulit?. Turunan trigonometri adalah sebuah turunan yang berasal dari fungsi sinus dan kosinus. Rumus dasar turunan fungsi trigonometri yaitu turunan fungsi sinus dan kosinus, yang diperoleh dari konsep limit, yakni sebagai berikut untuk lebih jelasnya ikutilah pola soal berikut ini: Turunan (diferensiasi) fungsi trigonometri adalah proses matematis untuk menemukan turunan suatu fungsi trigonometri atau tingkat perubahan terkait dengan suatu variabelnya. Tentukan turunan kedua dari soal latihan a. 72 jawaban b misalkan xy adalah fungsi f.
Turunan (diferensiasi) fungsi trigonometri adalah proses matematis untuk menemukan turunan suatu fungsi trigonometri atau tingkat perubahan terkait dengan suatu variabelnya. Demikian informasi mengenai rumus turunan fungsi trigonometri yang. Silvia azkal azkya gradien garis disimbolkan dengan m dimana. Tentukan turunan kedua dari soal latihan a. Matematikastudycenter.com_ contoh soal dan pembahasan turunan untuk fungsi trigonometri, materi matematika kelas xi sma.
Turunan Fungsi Trigonometri from idschool.net Pembahasan soal ujian nasional (un) tingkat sma bidang studi matematika ipa dengan pokok bahasan persamaan trigonometri , yaitu menentuk. 2 cos 75° cos 15°! Materi turunan fungsi trigonometri dan contoh soal ini memerlukan rumus dasar untuk menyelesaikannya. Tentukan lah nilai hasil dari: Aku akan kasih satu contoh soal turunan fungsi trigonometri menggunakan aturan rantai, agar kamu bisa memahami maksud rumus pengembangan i diatas. Pada tutorial sebelumnya kita telah mempelajari tentang turunan fungsi aljabar. Penerapan turunan fungsi trigonometri menentukan persamaan garis singgung kurva kelompok 9 1. Soal juga dapat diunduh melalui tautan berikut:
4 untuk turunan fungsi trigonometri yang lain dapat diperoleh dengan menerapkan rumus perhitungan turunan, khususnya turunan bentuk u/v.
Turunan trigonometri adalah sebuah turunan yang berasal dari fungsi sinus dan kosinus. Salah satu persamaan garis singgung yang melalui titik potong kurva dan garis tersebut adalah. Turunan fungsi trigonometri yaitu proses matematis untuk menemukan turunan pada suatu fungsi trigonometri ataupun tingkat perubahan semua turunan fungsi trigonometri lingkaran bisa ditemui dengan cara memakai turunan sin(x) dan cos(x). Aku akan kasih satu contoh soal turunan fungsi trigonometri menggunakan aturan rantai, agar kamu bisa memahami maksud rumus pengembangan i diatas. Fungsi trigonometri yang umum digunakan adalah sin(x), cos(x) dan tan(x). 4 untuk turunan fungsi trigonometri yang lain dapat diperoleh dengan menerapkan rumus perhitungan turunan, khususnya turunan bentuk u/v. Biar kamu ngerti tentang materi ini, yang pertama kali perlu kamu lakuin adalah memahami tentang pengertiannya. Pada dasarnya turunan trigonometri mengacu pada definisi turunan. Titik potong garis h dengan sumbu x adalah a nilai maksimum x.y adalah. Baik itu di dalam ilmu matematika atau ilmu yang lainnya. Kalian dapat mendapatkannya dari konsep limit atau persamaan turunan yang nantinya juga masih perlu melibatkan contoh soal trigonometri. Jadikan y sebagai peubah x. Y sin y cos y cos y sin y tan y sec karena maka f ( ) sin.
Tentukan lah nilai hasil dari: Soal ini merupakan fungsi yang berbentuk y = yang dapat diselesaikan dengan menggunakan rumus. Tentukan nilai c sehingga bila c. Materi turunan fungsi trigonometri dan contoh soal ini memerlukan rumus dasar untuk menyelesaikannya. Sama halnya dengan limit trigonometri, limit fungsi trigonometri merupakan nilai paling dekat dari suatu sudut pada fungsi trigonometri.
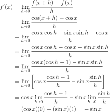
Soal Dan Penyelesaian Aplikasi Turunan Fungsi Youtube from i.ytimg.com Penerapan turunan fungsi trigonometri menentukan persamaan garis singgung kurva kelompok 9 1. Turunan fungsi trigonometri itu apasih? Silvia azkal azkya gradien garis disimbolkan dengan m dimana. Turunan fungsi f(x) terhadap x didefinisikan oleh f′(x)=limh→0f(x+h)−f(x)hdengan syarat. Turunan atau derivatif dalam ilmu kalkulus ialah merupakan pengukuran terhadap bagaimana fungsi berubah seiring perubahan nilai input. 72 jawaban b misalkan xy adalah fungsi f. Turunan fungsi trigonometri yaitu proses matematis untuk menemukan turunan pada suatu fungsi trigonometri ataupun tingkat perubahan semua turunan fungsi trigonometri lingkaran bisa ditemui dengan cara memakai turunan sin(x) dan cos(x). Pada dasarnya turunan trigonometri mengacu pada definisi turunan.
Siapa yang merasa kalau trigonometri itu sulit?
Penerapan turunan fungsi trigonometri menentukan persamaan garis singgung kurva kelompok 9 1. Turunan fungsi trigonometri itu apasih? Turunan fungsi trigonometri yaitu proses matematis untuk menemukan turunan pada suatu fungsi trigonometri ataupun tingkat perubahan semua turunan fungsi trigonometri lingkaran bisa ditemui dengan cara memakai turunan sin(x) dan cos(x). Tentukan nilai c sehingga bila c. Teorema turunan fungsi trigonometri berikut akan sangat berguna dalam. Aku akan kasih satu contoh soal turunan fungsi trigonometri menggunakan aturan rantai, agar kamu bisa memahami maksud rumus pengembangan i diatas. Sama halnya dengan limit trigonometri, limit fungsi trigonometri merupakan nilai paling dekat dari suatu sudut pada fungsi trigonometri. Pembahasan soal ujian nasional (un) tingkat sma bidang studi matematika ipa dengan pokok bahasan persamaan trigonometri , yaitu menentuk. Y sin y cos y cos y sin y tan y sec karena maka f ( ) sin. 72 jawaban b misalkan xy adalah fungsi f. Jadikan y sebagai peubah x. Materi lanjutan dari turunan fungsi aljabar adalah turunan fungsi trigonometri. Soal ini merupakan fungsi yang berbentuk y = yang dapat diselesaikan dengan menggunakan rumus.
Silvia azkal azkya gradien garis disimbolkan dengan m dimana. Aku akan kasih satu contoh soal turunan fungsi trigonometri menggunakan aturan rantai, agar kamu bisa memahami maksud rumus pengembangan i diatas. Turunan fungsi trigonometri itu apasih? Pada umumnya turunan trigonometri lebih mengacu pada definisi turunan. Baik itu di dalam ilmu matematika atau ilmu yang lainnya.
Contoh Soal Turunan Fungsi Trigonometri Edumatik Net from edumatik.net Y sin y cos y cos y sin y tan y sec karena maka f ( ) sin. Tentukan turunan kedua dari soal latihan a. Pada dasarnya turunan trigonometri mengacu pada definisi turunan. Fungsi trigonometri yang umum digunakan adalah sin(x), cos(x) dan tan(x). Turunan fungsi f(x) terhadap x didefinisikan oleh f′(x)=limh→0f(x+h)−f(x)hdengan syarat. Titik potong garis h dengan sumbu x adalah a nilai maksimum x.y adalah. 72 jawaban b misalkan xy adalah fungsi f. Materi lanjutan dari turunan fungsi aljabar adalah turunan fungsi trigonometri.
Tapi, ternyata materi fungsi turunan belum berhenti disitu lho.
Baik itu di dalam ilmu matematika atau ilmu yang lainnya. Selengkapnya tentang rumus turunan trigonometri adalah sebagai berikut. Tentukan nilai c sehingga bila c. Tentukan turunan kedua dari soal latihan a. Turunan trigonometri adalah sebuah turunan yang berasal dari fungsi sinus dan kosinus. Turunan fungsi trigonometri yaitu proses matematis untuk menemukan turunan pada suatu fungsi trigonometri ataupun tingkat perubahan semua turunan fungsi trigonometri lingkaran bisa ditemui dengan cara memakai turunan sin(x) dan cos(x). Berikut ini merupakan soal dan pembahasan mengenai turunan fungsi trigonometri yang dikumpulkan dari berbagai referensi. Latihan soal turunan fungsi trigonometri. By ahmad ghaniposted on march 28, 2021. Jadikan y sebagai peubah x. Kalian dapat mendapatkannya dari konsep limit atau persamaan turunan yang nantinya juga masih perlu melibatkan contoh soal trigonometri. 2 cos 75° cos 15°! Tentukanlah turunan pertama dari setiap fungsi berikut ini :
Berbagi
Posting Komentar
untuk "Soal Penggunaan Turunan Fungsi Trigonometri : Smart Solution Un Matematika Sma 2013 Skl 5 2 Aplikasi Turunan Fungs / Siapa yang merasa kalau trigonometri itu sulit?"
Posting Komentar untuk "Soal Penggunaan Turunan Fungsi Trigonometri : Smart Solution Un Matematika Sma 2013 Skl 5 2 Aplikasi Turunan Fungs / Siapa yang merasa kalau trigonometri itu sulit?"