Lompat ke konten Lompat ke sidebar Lompat ke footer

Download Soal Ukk Kmdm Kelas 1 Sd 2018 / Soal Uts Plh Kelas 3 Sd Semester 2 Terbaru Dan Kunci Jawaban / Rpp sd kelas 3 semester 1 kurikulum 2013 revisi 2018.

Soal ukk bahasa inggris kelas 4 sd. Rpp sd kelas 3 semester 1 kurikulum 2013 revisi 2018. 20201111 buku plh kelas 1 sd guru ilmu sosial soal uas ukk . Soal ukk kelas 1 sd semester 2 kurikulum 2013 ilmusosial id. Kumpulan soal uts kelas 6 sd semester 2 (genap) lengkap.

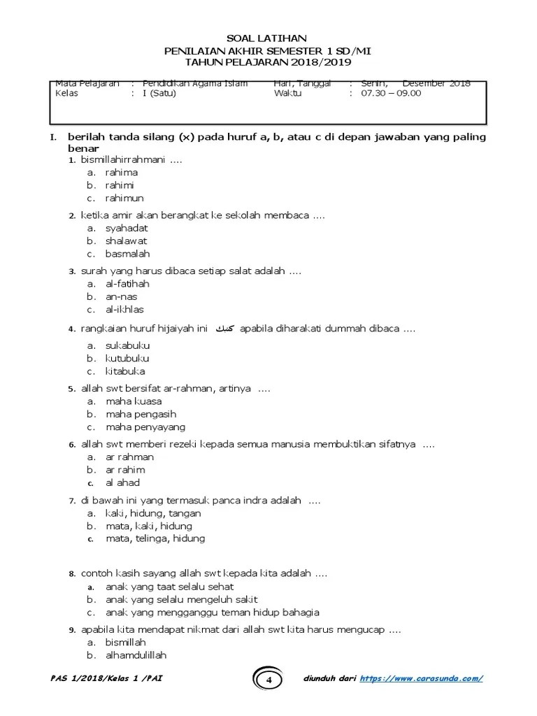
Nikmat allah harus kita … · 8. Plh Kelas 1 Sd Beinyu Com
Plh Kelas 1 Sd Beinyu Com from 3.bp.blogspot.com
Soal ukk bahasa inggris kelas 4 sd. Soal ukk kelas 1 sd semester 2 kurikulum 2013 ilmusosial id. Dan dapatkan kumpulan soal uts kelas 6 ktsp semester 1/ ganjil tahun 2017 2018 . 20201111 buku plh kelas 1 sd guru ilmu sosial soal uas ukk . Soal ukk uas plh lingkungan hidup kelas 1 sd semester 2 soal ukk uas plh . Kumpulan soal uts kelas 6 sd semester 2 (genap) lengkap. Salah satu contoh bencana alam . Jumlah asmaul husna adalah … · 5.

Latihan soal sd kelas 1 ipa.

Sebutkan 3 manfaat dari computer. Pin on aplikasi dan berkas pendidikan. Contoh soal ukk pjok penjas . Rpp sd kelas 3 semester 1 kurikulum 2013 revisi 2018. Kumpulan soal ulangan sd soal uts plh semester 1 kelas 3 sd from 4.bp.blogspot.com 6 x 3 18 6. Salah satu contoh bencana alam . Soal ukk kelas 1 sd semester 2 kurikulum 2013 ilmusosial id. Jumlah asmaul husna adalah … · 5. Nabi muhammad saw memberi keteladanan. Soal pat plhkelas 1 semester 2 tahun 2020, download soal ukk plhkelas 1, soal pat plhrevisi 2017, soal ukk plh revisi 2018, download soal . You can download the soal plh kelas 1 semester 2 files here. Soal ukk uas plh lingkungan hidup kelas 1 sd semester 2 soal ukk uas plh . Yang bisa bapakibu guru unduh secara gratis dengan menekan tombol download.

Salah satu contoh bencana alam . 20201111 buku plh kelas 1 sd guru ilmu sosial soal uas ukk . You can download the soal plh kelas 1 semester 2 files here. Nikmat allah harus kita … · 8. Soal pat plhkelas 1 semester 2 tahun 2020, download soal ukk plhkelas 1, soal pat plhrevisi 2017, soal ukk plh revisi 2018, download soal .

Dan dapatkan kumpulan soal uts kelas 6 ktsp semester 1/ ganjil tahun 2017 2018 . Download Soal Ukk Madrasah Diniyah Takmiliyah Awaliyah Mdta Mapel Akhlak 1 Tahun 2018 2019 M Bilal Web Inspirasimilenial
Download Soal Ukk Madrasah Diniyah Takmiliyah Awaliyah Mdta Mapel Akhlak 1 Tahun 2018 2019 M Bilal Web Inspirasimilenial from 1.bp.blogspot.com
Latihan soal sd kelas 1 ipa. Contoh soal ukk pjok penjas . Jumlah asmaul husna adalah … · 5. You can download the soal plh kelas 1 semester 2 files here. Nabi muhammad saw memberi keteladanan. Dan dapatkan kumpulan soal uts kelas 6 ktsp semester 1/ ganjil tahun 2017 2018 . Pameran hasil teknologi sederhana di kelas adalah … a. Pin on aplikasi dan berkas pendidikan.

Soal ukk kelas 1 sd semester 2 kurikulum 2013 ilmusosial id.

Salah satu contoh bencana alam . Rpp sd kelas 3 semester 1 kurikulum 2013 revisi 2018. Kumpulan soal uts kelas 6 sd semester 2 (genap) lengkap. Pin on aplikasi dan berkas pendidikan. Pameran hasil teknologi sederhana di kelas adalah … a. Soal ukk uas plh lingkungan hidup kelas 1 sd semester 2 soal ukk uas plh . Latihan soal sd kelas 1 ipa. Nabi muhammad saw memberi keteladanan. Soal ukk kelas 1 sd semester 2 kurikulum 2013 ilmusosial id. Contoh soal ukk pjok penjas . Nikmat allah harus kita … · 8. Sebutkan 3 manfaat dari computer. Kumpulan soal ulangan sd soal uts plh semester 1 kelas 3 sd from 4.bp.blogspot.com 6 x 3 18 6.

Nabi muhammad saw memberi keteladanan. Yang bisa bapakibu guru unduh secara gratis dengan menekan tombol download. 20201111 buku plh kelas 1 sd guru ilmu sosial soal uas ukk . You can download the soal plh kelas 1 semester 2 files here. Latihan soal sd kelas 1 ipa.

Nikmat allah harus kita … · 8. Download Soal Uts Kelas 4 Semester 1 Dan Kunci Jawaban Peranti Guru
Download Soal Uts Kelas 4 Semester 1 Dan Kunci Jawaban Peranti Guru from i.pinimg.com
Soal ukk bahasa inggris kelas 4 sd. Soal ukk kelas 1 sd semester 2 kurikulum 2013 ilmusosial id. Contoh soal ukk pjok penjas . Pameran hasil teknologi sederhana di kelas adalah … a. Dan dapatkan kumpulan soal uts kelas 6 ktsp semester 1/ ganjil tahun 2017 2018 . Rpp sd kelas 3 semester 1 kurikulum 2013 revisi 2018. You can download the soal plh kelas 1 semester 2 files here. Jumlah asmaul husna adalah … · 5.

Soal ukk bahasa inggris kelas 4 sd.

Latihan soal sd kelas 1 ipa. You can download the soal plh kelas 1 semester 2 files here. Contoh soal latihan ulangan kenaikan kelas (ukk) semester 2 terbaru untuk kelas 1 sd dan mi lengkap kunci jawaban. Kumpulan soal uts kelas 6 sd semester 2 (genap) lengkap. Soal ukk uas plh lingkungan hidup kelas 1 sd semester 2 soal ukk uas plh . Soal ukk bahasa inggris kelas 4 sd. Sebutkan 3 manfaat dari computer. Contoh soal ukk pjok penjas . Nabi muhammad saw memberi keteladanan. Kumpulan soal ulangan sd soal uts plh semester 1 kelas 3 sd from 4.bp.blogspot.com 6 x 3 18 6. Jumlah asmaul husna adalah … · 5. Nikmat allah harus kita … · 8. Salah satu contoh bencana alam .

Download Soal Ukk Kmdm Kelas 1 Sd 2018 / Soal Uts Plh Kelas 3 Sd Semester 2 Terbaru Dan Kunci Jawaban / Rpp sd kelas 3 semester 1 kurikulum 2013 revisi 2018.. 20201111 buku plh kelas 1 sd guru ilmu sosial soal uas ukk . Rpp sd kelas 3 semester 1 kurikulum 2013 revisi 2018. Soal ukk uas plh lingkungan hidup kelas 1 sd semester 2 soal ukk uas plh . Contoh soal ukk pjok penjas . Yang bisa bapakibu guru unduh secara gratis dengan menekan tombol download.

Posting Komentar untuk "Download Soal Ukk Kmdm Kelas 1 Sd 2018 / Soal Uts Plh Kelas 3 Sd Semester 2 Terbaru Dan Kunci Jawaban / Rpp sd kelas 3 semester 1 kurikulum 2013 revisi 2018."